书记信箱
|
院长信箱
首页
学院概况
学院简介
学院领导
专业设置
组织机构
师资队伍
学院新闻
建院新闻
通知公告
教学科研
职教动态
教学工作
科研工作
质量工程
团学工作
学生风采
奖助贷优
学籍管理
学管队伍
鲁班讲堂
实习实训
实训基地
岗位实习
招生就业
招生计划
就业信息
访企拓岗
基层党建
党员教育
组织建设
技能大赛
下载中心
校历
实习进程表
学院新闻
建院新闻
通知公告
通知公告
当前位置:
首页
>>
学院新闻
>>
通知公告
>> 正文
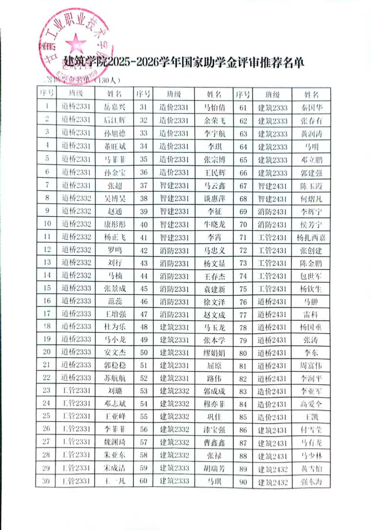
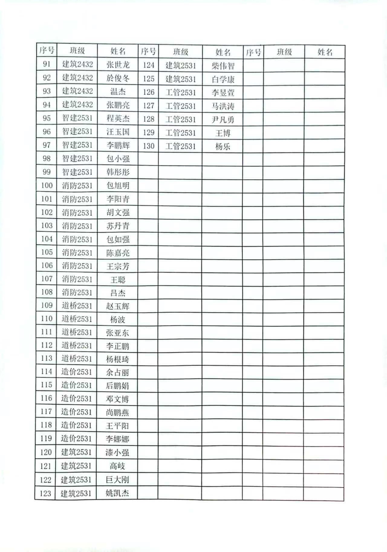
建筑学院关于2025-2026学年国家助学金评定名单的公示
发布日期:2025-10-31 文章来源: 点击:
上一条:
建筑学院外出培训、会议统计一览表
下一条:
建筑学院2025年国家励志奖学金拟推荐名单公示